현실에서는 통계를 활용해서 여러 가지 조사를 많이 하는데, 이때 보통 평균을 많이 조사한다. 그래서 신뢰구간을 추정할 때도 “평균”을 많이 추정하는데, 몇 가지 예를 들면 아래와 같다. 그런데 점추정은 신뢰도가 떨어지기에, 확률분포를 활용해서 알고자 하는 모평균을 구간추정 하는데, 이것을 “모평균의 신뢰구간”이라고 한다.
그리고 모평균의 신뢰구간은 크게 모표준편차인 “σ를 아는 경우”와 “σ를 모르는 경우”로 나뉘는데, 이번에는 “σ를 아는 경우”에 대해서 알아보자. 일단 무엇인가를 조사할 때는 모집단의 모표준편차인 σ를 모르는 경우가 대부분이다. 그리고 표준편차를 구하기 위해서는 먼저 평균을 구해야 하기에, 모평균을 모르면 모표준편차도 알 수가 없다.(평균을 기준으로 편차를 파악해서 표준편차를 구한다) 그래서 모표준편차를 아는데도 불구하고 모평균을 몰라서, 모평균이 얼마인지 추정한다는 것은 일단 말이 안 된다. 그래서 “σ를 아는 경우”는 현실성이 없다.
그런데 기업이나 특정 조사기관에서는 수십 년에 걸쳐서 자료를 수집하기도 하는데, 이러한 자료들이 모집단의 모수는 아니지만, 그 수가 워낙에 방대하기에 모수로 취급되기도 한다. 그래서 “σ를 아는 경우”가 종종 있다고도 하지만, 이런 경우는 거의 없다. 그래서 “σ를 아는 경우”는 그냥 σ를 알고 있다고 가정(假定: 거짓 가, 정할 정)한 거라고 생각하는 게 더 편할 것이다. 그리고 신뢰구간을 구할 때는 각각에 맞는 확률분포를 사용하는데, σ를 아는 경우에는 정규분포를 사용한다. 그래서 정규분포의 표준화 공식이 나오는데, 공식이 살짝 바뀐다.
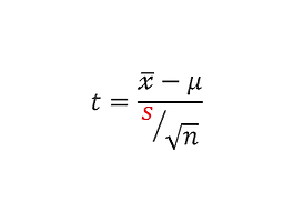
그럼 공식을 한 번 살펴보면 분모에 “루트 n”이 추가된 것을 알 수 있는데, “루트 n”이 추가된 이유는 바로 표본의 개수 때문이다. 왜냐하면 현실에서 여러 신뢰구간을 구할 때는, 시간과 비용의 제약으로 표본을 많이 뽑기가 힘들다. 그런데 표본의 수가 적으면 정확한 값을 구하기가 힘든데, 그렇다고 표본의 수를 늘리면 시간과 비용이 많이 든다. 그래서 어쩔 수 없이 값의 정확도를 올리기 위해서, 구하는 과정에 변화를 줄 수밖에 없었는데, 그것이 바로 분모에 “루트 n”을 추가하는 것이다.(표본분산을 구할 때 값의 정확도를 올리기 위해서 n-1을 하는 것과 비슷한 개념이다) 그리고 새로 바뀐 공식의 분모를 보통 “표준오차”라고 부르는데, 공식의 전개 과정은 다른 통계 책을 참고하기 바람
그리고 신뢰구간은 구간의 길이를 구하는 것이기 때문에, 정규분포 그래프의 x축 좌표를 활용하는데, 그래프의 α/2에 해당하는 양쪽 x축 좌표를 사용한다. 그래서 양쪽 x축 좌표 ±Zα/2와 위의 공식을 활용하면 신뢰구간의 공식을 유도할 수 있는데, 모평균을 추리하는 것이므로, 모평균 μ를 중심으로 공식을 재배열하면 된다. 그래서 모평균의 신뢰구간(σ를 아는 경우)을 구하는 공식은 아래와 같은데, 공식을 외우기가 버거우면 이렇게 유도를 해도 된다.
'통계' 카테고리의 다른 글
| 모평균의 신뢰구간 표본크기의 결정 (2) | 2019.11.09 |
|---|---|
| 모평균의 신뢰구간 문제풀이(σ를 모르는 경우) (1) | 2019.11.08 |
| 모평균의 신뢰구간 구하는 법(σ를 모르는 경우) (0) | 2019.11.08 |
| 모평균의 신뢰구간 문제풀이(σ를 아는 경우) (2) | 2019.11.08 |
| 90%, 95%, 99% 신뢰구간의 차이 (0) | 2019.11.07 |
| 신뢰구간이란? (0) | 2019.11.06 |
| 점추정과 구간추정이란? (0) | 2019.11.06 |
| 통계적 추정이란? (1) | 2019.11.06 |