무엇인가를 추정할 때, 표본의 수가 많을수록 추정의 신뢰도는 올라가고, 반대로 표본의 수가 적을수록 추정의 신뢰도는 떨어진다. 그래서 아무리 신뢰구간(신뢰할 수 있는 구간)이라고 하더라도 표본의 수가 너무 적으면 구간의 신뢰도는 떨어지는데, 그렇다고 신뢰도를 올리기 위해서 무조건 표본을 많이 뽑기에는 시간과 비용이 많이 든다. 그래서 신뢰구간을 구할 때는, 너무 많지도 혹은 너무 적지도 않은 적당한 크기의 표본이 필요한데, 이번에는 모평균의 신뢰구간을 추정할 때 표본의 크기를 결정하는 법을 알아보자.
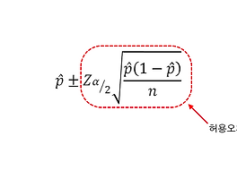
일단 표본크기(n)를 결정할 때는 “허용오차”를 알아야 하는데, 먼저 통계는 수학의 다른 분야와는 달리 확률로 값을 표현할 뿐, 100%의 정답을 다루지 않는다. 그리고 세상에 어느 정도의 오차는 당연하게 존재하기에, 대부분의 통계적 조사가 어느 정도의 오차는 인정하고 진행된다. 하지만 그렇다고 하더라도 오차가 큰 것을 바라지는 않을 것이다. 그래서 어느 정도의 오차는 인정하지만, 일정 크기 이상은 인정하지 않는 즉 최대한으로 허용하는 오차가 허용오차이다.(사실 신뢰구간은 점추정을 기준으로, 이 허용오차만큼의 구간이라고도 말할 수 있다) 그리고 허용오차는 기준이 되는 기호가 없어서, 사람마다 표기하는 기호가 다 다른데, 여기서는 “E”라고 표기하겠다.
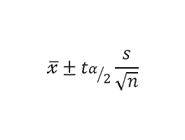
그리고 표본크기를 결정할 때는 이 허용오차를 활용하는데, 위의 그림을 보면 허용오차는 신뢰구간의 한쪽 구간과 동일한 것을 알 수 있다. 그래서 표본크기를 결정하는 공식은 아래와 같이 유도할 수 있다. 그런데 한 가지 짚고 넘어갈 것이 있는데, 공식에 있는 σ는 모표준편차가 아니라 대략적인 추정값이다. 왜냐하면 대부분의 통계 조사에서 모표준편차(σ)를 알고 있는 경우는 거의 없다. 그리고 표본의 크기를 결정한다는 것은 아직 표본을 뽑기 전이므로, 표본표준편차(s)도 모르는 상황이다. 하지만 표본의 크기를 결정하기 위해서는 표준편차를 알아야 하는데, 그래서 과거에 수집했었던 데이터를 가지고 대략적인 추정값을 구한다.
참고로 적당한 표본의 크기를 찾는 방법이라고는 하지만, 사실 어떠한 조사를 할 때 표본은 여건이 허락하는 한 되도록 많이 뽑는 것이 좋다. 그래서 이 “표본크기의 결정”은 다소 회의감이 드는 것도 사실이다. 그래서 이러한 것도 있다는 것만 알고 넘어가도 된다. 그럼 문제를 하나를 풀어보자.
1. 어느 과자 회사에서 생산하는 A과자의 평균용량은 250g으로 알려져 있다. 그래서 실제로 그러한지를 알아보려고 하는데, 평균에 대해서 허용할 수 있는 오차는 10g으로 설정하였다. 그리고 과거의 데이터를 분석해보니 표준편차는 30g이라고 한다. 이때 신뢰수준 90%에 적합한 표본크기를 구하시오.
90%의 신뢰수준이기에 Zα/2=1.645이고 σ=30이다. 그리고 허용오차 E=10이므로, 공식을 사용해서 문제를 풀어보면 24.3542가 나온다. 그래서 적당한 표본크기는 25개라는 것을 알 수 있다.(표본의 크기는 “개수”이므로, 소수점은 필요가 없다. 그리고 24.3542의 소수점인 0.3542를 처리하려면, 어쨌든 표본 1개가 더 필요하다. 그래서 반올림이 아니라 올림을 한다)
'통계' 카테고리의 다른 글
| 모분산의 신뢰구간 구하는 법 (0) | 2019.11.11 |
|---|---|
| 모비율의 신뢰구간 표본크기의 결정 (0) | 2019.11.11 |
| 모비율의 신뢰구간 문제풀이 (0) | 2019.11.11 |
| 모비율의 신뢰구간 구하는 법 (0) | 2019.11.10 |
| 모평균의 신뢰구간 문제풀이(σ를 모르는 경우) (1) | 2019.11.08 |
| 모평균의 신뢰구간 구하는 법(σ를 모르는 경우) (0) | 2019.11.08 |
| 모평균의 신뢰구간 문제풀이(σ를 아는 경우) (2) | 2019.11.08 |
| 모평균의 신뢰구간 구하는 법(σ를 아는 경우) (0) | 2019.11.07 |