두 모비율의 신뢰구간은 이전 글에서 다루었던 “두 모평균”과 기본적인 개념은 비슷한데, “두 모평균”과 마찬가지로 각 집단의 모비율을 따로따로 추정하는 것이 아니라, 두 집단의 모비율이 서로 얼마나 차이 나는지를 추정하는 것이다. 참고로 두 집단의 모비율을 서로 어떻게 비교하는지에 대해서 몇 가지 예를 들면 아래와 같다.
그리고 “두 모평균 차이의 신뢰구간 구하는 법”이랑 마찬가지로,(참고) 두 집단의 비율을 비교할 때는 뺄셈을 활용하는데, 일단 각 집단의 표본비율을 구한 다음, 서로 빼주면 된다.
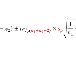
그리고 신뢰구간을 구할 때는 정규분포를 사용하는데, 비율을 구하는 것이므로 정규분포 공식이 살짝 바뀐다.(참고) 그리고 모집단이 2개이므로, 공식에서 집단이 1개 추가된다.
그럼 위의 공식과 α/2에 해당하는 정규분포 그래프의 x축 좌표를 활용하면, 신뢰구간의 공식을 유도할 수 있는데, 두 모비율의 차이가 얼마인지를 추정하는 것이므로 p1-p2를 중심으로 공식을 재배열하면 된다.
'통계' 카테고리의 다른 글
| 통계적 가설검정이란? (0) | 2019.11.15 |
|---|---|
| 두 모분산 차이의 신뢰구간 문제풀이 (0) | 2019.11.15 |
| 두 모분산 차이의 신뢰구간 구하는 법 (0) | 2019.11.14 |
| 두 모비율 차이의 신뢰구간 문제풀이 (3) | 2019.11.14 |
| 두 모평균 차이의 신뢰구간 문제풀이(σ를 모르는 경우) (0) | 2019.11.13 |
| 두 모평균 차이의 신뢰구간 구하는 법(σ를 모르는 경우) (0) | 2019.11.13 |
| 두 모평균 차이의 신뢰구간 문제풀이(σ를 아는 경우) (0) | 2019.11.12 |
| 두 모평균 차이의 신뢰구간 구하는 법(σ를 아는 경우) (0) | 2019.11.12 |