특정 제조회사에서 제품을 만들거나, 특정 조사기관에서 어떠한 현상을 조사할 때, 치우침은 되도록 작은 것이 좋다. 왜냐하면 제품을 만들 때 치우침이 크면, 그것은 곧 불량품이 되어버린다. 그리고 어떠한 현상을 조사할 때 치우침이 크면, 그것은 곧 분석의 오류로 이어진다. 그래서 때에 따라서는 치우침을 파악하는 일이 중요한데, 이 치우침을 나타내는 통계의 대표적인 기호가 분산이다. 그래서 모분산을 추리하는 것은 곧 집단의 치우침을 추리하는 것이라고도 할 수 있다.
그리고 신뢰구간을 추정할 때는 확률분포를 사용하는데, 분산의 특징을 확률분포로 만든 것이 카이제곱분포이기에, 모분산을 추정할 때는 카이제곱분포를 사용한다. 그래서 카이제곱분포 그래프의 α/2에 해당하는 양쪽 x축 좌표를 활용하는데, 그래프의 x축 좌표를 구하는 법은 여기를 (참고)하면 된다.
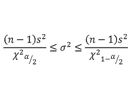
그리고 신뢰구간을 구하기 위해서는 양쪽 x축 좌표와 함께 카이제곱분포의 공식도 알아야 하는데, 이 공식은 카이제곱분포의 대표적인 공식으로 나중에 가설검정에서도 사용하는 공식이다. 그래서 그래프의 양쪽 x축 좌표와 위의 공식을 활용하면 신뢰구간의 공식을 구할 수 있는데, 모분산(σ2)을 추정하는 것이므로 σ2을 중심으로 공식을 재배열하면 된다.
'통계' 카테고리의 다른 글
| 두 모평균 차이의 신뢰구간 구하는 법(σ를 모르는 경우) (0) | 2019.11.13 |
|---|---|
| 두 모평균 차이의 신뢰구간 문제풀이(σ를 아는 경우) (0) | 2019.11.12 |
| 두 모평균 차이의 신뢰구간 구하는 법(σ를 아는 경우) (0) | 2019.11.12 |
| 모분산의 신뢰구간 문제풀이 (0) | 2019.11.12 |
| 모비율의 신뢰구간 표본크기의 결정 (0) | 2019.11.11 |
| 모비율의 신뢰구간 문제풀이 (0) | 2019.11.11 |
| 모비율의 신뢰구간 구하는 법 (0) | 2019.11.10 |
| 모평균의 신뢰구간 표본크기의 결정 (2) | 2019.11.09 |