먼저 이전 글에서는 “σ를 아는 경우”에 대해서 알아보았는데, 사실 가설검정을 할 때 모표준편차(σ)를 아는 경우는 거의 없다. 그래서 모평균의 가설검정은 대부분 “σ를 모르는 경우”가 일반적인데, 모수를 모르기 때문에 표본의 통계량을 사용한다. 그래서 검정통계량 공식을 살펴보면, 표본에서 얻어낸 표본표준편차(s)가 들어간다.
그리고 “σ를 아는 경우”에는 정규분포를 사용하는데, “σ를 모르는 경우”에는 t분포를 사용한다. 그런데 t분포를 사용해서 확률을 구하는 것이 아니라, 단지 그래프의 x축 좌표를 활용해서 “기각역”과 “검정통계량”을 구한다. 그런데 n≥30이면 t분포는 정규분포와 값이 비슷해지기에, t분포 대신 정규분포를 사용한다.(참고) 그리고 이전 글에서 다루었던 “σ를 아는 경우”에는 표본의 수(n)에 상관없이 무조건 정규분포만 사용하는데, 해당 상황을 그림으로 나타내면 아래와 같다.
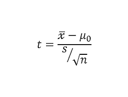
어쨌든 n≥30이면 정규분포를 사용하는데, 단지 σ를 모르기 때문에, 공식에 있는 σ가 표본표준편차(s)로 대체된다. 그래서 “σ를 모르는 경우”의 검정통계량 구하는 공식은 아래와 같다. 그리고 “σ를 모르는 경우”는 t분포를 사용한다는 것만 제외하면, “σ를 아는 경우”와 개념이 거의 비슷하다. 그래서 이외의 내용은 “σ를 아는 경우”를 (참고)하면 된다.
'통계' 카테고리의 다른 글
| 모분산의 가설검정하는 법 (0) | 2019.11.20 |
|---|---|
| 모비율의 가설검정 문제풀이 (0) | 2019.11.19 |
| 모비율의 가설검정하는 법 (0) | 2019.11.19 |
| 모평균의 가설검정 문제풀이(σ를 모르는 경우) (1) | 2019.11.19 |
| 모평균의 가설검정 문제풀이(σ를 아는 경우) (0) | 2019.11.18 |
| 모평균의 가설검정하는 법(σ를 아는 경우) (0) | 2019.11.18 |
| 기각역 설정하는 법 (2) | 2019.11.17 |
| 기각역이란? (0) | 2019.11.17 |