포아송근사란 “이항분포의 문제를 포아송분포를 사용하여 구하는 것”을 말하는데,(近似: 가까울 근, 같을 사) 이항분포의 문제에서 n이 크고 성공확률 p가 아주 작을 경우에만 포아송분포에 근사해서 문제를 풀기도 한다. 그리고 포아송근사를 하는 이유는, 이항분포는 n이 크면 문제를 손으로 계산하기가 힘들기 때문이라는 말이 있는데, 사실 “계산기”나 “엑셀” 그리고 “통계프로그램”이 발달한 요즘에는 n이 커도 이항분포를 편하게 계산할 수 있기 때문에, 굳이 포아송근사를 할 필요는 없다. 그래서 포아송근사는 “계산기”가 발달하기 이전에, 좀 더 편하게 계산을 하기 위해서 사용하던 방법으로, 그냥 예전에는 이러한 방법도 사용했었다는 것만 알고 넘어가도 된다.
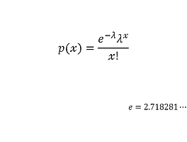
일단 포아송분포는 다른 이산확률분포와는 다르게, 확률을 구할 때 평균을 알아야 한다. 그래서 이항분포의 문제를 포아송분포에 근사하기 위해서는 이항분포의 평균 np를 알아야 하는데, 포아송분포의 평균 λ 대신 이항분포의 평균 np를 대입하기 때문이다. 그럼 문제 하나를 예로 들어보자.
1. 신용카드를 사용하는 사람 중에서 5%는 카드값 연체 중이라고 한다. 그럼 신용카드 사용자 100명을 조사하였을 때, 카드값을 연체하고 있는 사람이 10명일 확률을 구하시오.
일단 포아송근사는 λ 대신 이항분포의 평균 np를 대입하는데, 먼저 총횟수 n=100이고 성공확률 p=0.05이므로, 평균 np=100×0.05=5이다. 그리고 발생횟수 x=10이므로, 공식에 대입해서 문제를 풀어보면 확률은 0.0181 or 1.81%가 나온다.
참고로 포아송근사는 얼추 비슷한 근사값이 나올 뿐, 이항분포로 문제를 풀었을 때와 같은 값이 나오지는 않는다. 그래서 위의 문제를 이항분포로 푼다면 확률은 0.0167 or 1.67%가 나오면서, 비슷하기는 하지만 포아송분포의 근사값과는 조금 차이가 있다는 것을 알 수 있다. 포아송근사는 그냥 예전에 사용하던 하나의 방법일 뿐, 이항분포의 문제는 이항분포로 푸는 것이 확률값은 더 정확하다.
'통계' 카테고리의 다른 글
| 지수분포의 확률 구하는 법 (2) | 2019.10.29 |
|---|---|
| 균등분포 문제풀이 (0) | 2019.10.28 |
| 균등분포의 확률 구하는 법 (0) | 2019.10.27 |
| 연속확률분포의 공식 (0) | 2019.10.26 |
| 포아송분포표 보는 법 (0) | 2019.10.25 |
| 포아송분포 문제풀이 (3) | 2019.10.24 |
| 포아송분포의 확률 구하는 법 (0) | 2019.10.24 |
| 음이항분포 문제풀이 (0) | 2019.10.24 |