두 모평균의 가설검정은 크게 “σ를 아는 경우”와 “σ를 모르는 경우”로 나뉘는데, 이번에는 σ를 아는 경우에 대해서 알아보자. 일단 두 모평균의 가설검정은 2개의 모평균이 서로 어떠한 관계에 있는지를 비교하는 것인데, 두 모평균의 차이를 비교할 때는 보통 “뺄셈”을 활용한다.(참고) 그래서 뺄셈을 활용해서 귀무가설과 대립가설을 설정하기도 하기에, 가설을 표현하는 방법은 총 2가지이다.
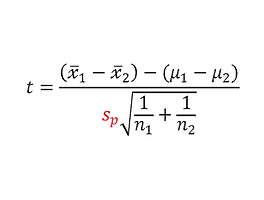
그리고 귀무가설과 대립가설을 설정할 때는, 2개의 방법 중 아무거나 사용해도 상관은 없는데, 그냥 자신이 편한 걸 사용하면 된다. 단지 두 번째 방법에서 μ1-μ2=0이라고 나와 있는데, 그래서 검정통계량 공식에 있는 μ1-μ2에는 0을 대입한다.(검정통계량 공식은 신뢰구간이랑 똑같다)
그리고 μ1-μ2는 실제의 모평균이 아니라 가설 속의 모평균이다.(귀무가설과 대립가설 속에 나오는 모평균) 그래서 오른쪽 밑에 0을 넣어서 μ0(1)-μ0(2)라고 표기하는 것이 더 정확하기는 하지만, 너무 복잡하므로 편의상 0은 생략한다. 어쨌든 가설검정에서 검정통계량을 계산할 때, μ1-μ2에는 귀무가설과 대립가설에 나오는 0을 그대로 대입하면 되는데, 가끔 문제를 응용해서 0 이외에 다른 수치를 사용하기도 한다. 그건 다음 글에서 알아보자.
참고로 두 모평균의 가설검정에서 “σ를 아는 경우”에는 정규분포를 사용하는데, 정규분포를 활용해서 검정통계량과 기각역을 구한다. 그런데 자세한 내용은 어차피 단일 모평균의 가설검정하는 법이랑 비슷하기에 여기선 생략한다.
'통계' 카테고리의 다른 글
| 두 모비율 차이의 가설검정하는 법 (2) | 2019.11.26 |
|---|---|
| 두 모평균 차이의 가설검정 문제풀이(σ를 모르는 경우) (4) | 2019.11.25 |
| 두 모평균 차이의 가설검정하는 법(σ를 모르는 경우) (0) | 2019.11.24 |
| 두 모평균 차이의 가설검정 문제풀이(σ를 아는 경우) (1) | 2019.11.23 |
| 두 모집단의 귀무가설과 대립가설 설정하는 법 (0) | 2019.11.21 |
| 두 모집단의 가설검정이란? (0) | 2019.11.20 |
| 모분산의 가설검정 문제풀이 (3) | 2019.11.20 |
| 모분산의 가설검정하는 법 (0) | 2019.11.20 |