음이항분포는 이전 글에서 다루었던 기하분포와 많이 비슷하다. 하지만 두 분포의 가장 큰 차이점이 있는데, 먼저 기하분포는 x번째에서 처음으로 성공할 확률만 구할 수 있다면, 음이항분포는 x번째에서 k번째 성공할 확률도 구할 수 있다. 그래서 음이항분포는 기하분포의 업그레이드 버전이라고도 생각할 수 있다.
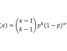
예를 들어 어떤 야구 선수의 안타를 칠 확률을 구한다고 해보자. 그럼 기하분포는 “5번째 타석에서 처음으로 안타를 칠 확률”처럼, 처음으로 성공할 확률만 구할 수 있다. 하지만 음이항분포는 “5번째 타석에서 3번째 안타를 칠 확률”처럼, k번째 성공할 확률도 구할 수 있다.(k=1, 2, 3 …) 그래서 기하분포는 확률을 구할 때 성공확률과 실패확률과 실패횟수만 파악하면 되었지만, 음이항분포는 기하분포와는 다르게 공식에 성공횟수 k가 추가되어있다. 참고로 공식의 앞부분은 이항계수라고 하는데, 이항계수는 여기를 (참고)하면 된다.
그런데 음이항분포는 기하분포와 성공횟수 k의 차이만 있을 뿐 거의 비슷하다고 보면 되는데, k=1이면 기하분포와 같아진다.(기하분포의 성공횟수는 무조건 1이다) 그래서 음이항분포의 공식에 k=1을 대입해보면, 기하분포의 공식이 나온다.
'통계' 카테고리의 다른 글
| 포아송분포표 보는 법 (0) | 2019.10.25 |
|---|---|
| 포아송분포 문제풀이 (3) | 2019.10.24 |
| 포아송분포의 확률 구하는 법 (0) | 2019.10.24 |
| 음이항분포 문제풀이 (0) | 2019.10.24 |
| 기하분포 문제풀이 (0) | 2019.10.23 |
| 기하분포의 확률 구하는 법 (0) | 2019.10.23 |
| 초기하분포 문제풀이 (0) | 2019.10.23 |
| 초기하분포의 확률 구하는 법 (0) | 2019.10.23 |