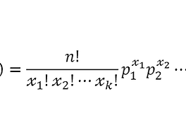
이전 글에서 초기하분포는 “비복원추출”로 매 실험조건이 달라지는 경우에 사용하는 확률분포라고 했었는데, 초기하분포의 공식은 이항계수의 조합으로 이루어져 있어서, 손으로 일일이 계산하기가 힘들다. 그래서 계산기를 활용해서 이항계수를 바로 구하는 것이 훨씬 편한데, 계산기 사용법은 여기를 (참고)하면 된다.(해당 글 맨 아래에 있다)
1. 어느 보험회사에는 직원이 10명이 있는데, 남성은 4명이고 여성은 6명이라고 한다. 그럼 비복원추출로 7명을 뽑았을 때, 이 중에서 여성이 4명 나올 확률을 구하시오.
보험회사 전체의 인원수 N=10이고, 전체에서 구하고자 하는 여성의 인원수 M=6이다. 그리고 표본으로 뽑은 인원수 n=7이고, 표본에서 구하고자 하는 여성의 인원수 x=4이다. 그래서 공식에 대입해보면 확률은 0.5 or 50%가 나온다.
2. 어느 화장품회사의 제품 30개가 있는데, 이 중에서 6개는 불량품이라고 한다. 그럼 비복원추출로 표본 5개를 뽑았을 때, 불량품이 1개 이하로 나올 확률을 구하시오.
먼저 불량품이 1개가 아니라, 1개 이하로 나올 확률이다. 그래서 문제를 풀기 위해서는 “0개가 나올 확률+1개가 나올 확률”을 구해야 한다. 일단 문제에서 전체의 개수 N=30이고, 전체에서 구하고자 하는 불량품의 개수 M=6이다. 그리고 뽑은 표본의 개수 n=5이고, 표본에서 구하고자 하는 개수 x=0, 1이다. 그래서 확률을 구해보면 0.7457 or 74.57%가 나온다.
3. 어떤 가수의 음반 CD 50장이 있는데, 이 중에서 10장은 불량품이라고 한다. 그래서 비복원추출로 표본 15장을 뽑았을 때, 불량품이 3장 이상이 나올 확률을 구하시오.
불량품이 3장 이상이 나올 확률을 구해야 하는데, 3장 이상이 나올 확률은 “3장+4장+‥‥+10장”이 나올 확률이라서, 계산하기가 너무 복잡하다. 그래서 이런 경우에는 확률의 총합이 100%라는 특성을 활용하는데, 100%-(0장+1장+2장)=(3장+4장+‥‥+10장)이므로, 100%에서 0장+1장+2장이 나올 확률을 빼주면, 불량품 3장 이상이 나올 확률을 구할 수 있다. 그럼 문제에서 전체의 개수 N=50이고, 전체에서 구하고자 하는 불량품의 개수 M=10이다. 그리고 뽑은 표본의 개수 n=15이고, 불량품의 개수 x=0, 1, 2이다. 그러므로 확률은 0.6384 or 63.84%가 나온다.
'통계' 카테고리의 다른 글
| 음이항분포 문제풀이 (0) | 2019.10.24 |
|---|---|
| 음이항분포의 확률 구하는 법 (0) | 2019.10.24 |
| 기하분포 문제풀이 (0) | 2019.10.23 |
| 기하분포의 확률 구하는 법 (0) | 2019.10.23 |
| 초기하분포의 확률 구하는 법 (0) | 2019.10.23 |
| 다항분포 문제풀이 (0) | 2019.10.23 |
| 다항분포의 확률 구하는 법 (0) | 2019.10.23 |
| 이항분포표 보는 법 (1) | 2019.10.22 |